中文马克思主义文库 -> 参考图书·左翼文化 -> 〔美〕跟大卫·哈维读《资本论》(第二卷)(2013)


资本循环

(第二卷 第1—3章)



  典型的资本家会以既定数量的货币开始。他们进入市场,购买生产资料和劳动力,并使用特定的技术和组织形式将其投入生产,最终生产出新的商品。然后,商品会进入市场,按开始投入的货币数量加上利润(马克思称之为剩余价值)的价格进行售卖。这是马克思在《资本论》第一卷中处理的资本循环的基本形式。资本被定义为运动中的价值,用图式表示为:货币——商品……生产……商品′——货币′(M—C…P…C′—M′,M′代表M+m,m即剩余价值)。[1]马克思的中心命题是劳动有能力比它在市场上作为商品所要求的价值,创造更多的价值(即剩余价值)。新鲜出炉的产品中“孕育着”剩余价值,被拿到市场上售卖以获得利润。因而资本的再生产依赖于将全部或部分M′重新用于购买,即购买新一轮商品生产所需的劳动力和生产资料。
  “在第一册中,”马克思写道,“我们只是在为理解第二阶段即资本的生产过程所必要的范围内,对第一阶段和第三阶段([M—C]和[C′—M′])进行过研究。因此,资本在不同阶段所具有的不同形式,它在反复循环中时而采取时而抛弃的不同形式,在那里没有加以考虑。现在它们就成为研究的直接对象了。”[2]
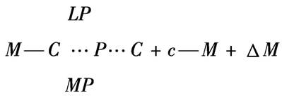
  在第二卷前三章,马克思把循环过程分解成三个独立但相互交织的循环,即货币资本循环、生产资本循环和商品资本循环。在第4章中,他研究了他所称的“产业资本”的循环,即把三个不同的循环过程结合为一个整体。实际上,马克思以货币、生产和商品这三种不同的视角分析了循环过程。总体框架如图1所示。

图1


  表面上看,整个方法似乎非常简单,甚至有点平庸。他假定循环持续进行,并把三个不同的循环过程放到这个方框之中。很难看到它的价值。但是,通过这种方法,他揭示和剖析了这种循环过程的内在逻辑中存在的困难和矛盾。从每扇窗户或每个视角,我们看到的是不同的现实,这也使我们能够识别可能发生扰乱的地方。
  纵观这些章节,马克思关注了三件事,两件是明确的,第三件则是不明确的。第一件是形态变化。这个概念来源于第一卷第3章,马克思在那里剖析了他所称的资本的“社会新陈代谢”中的形态变化。形态变化是指资本所采取的形式的改变,即从货币到生产活动再到商品。马克思感兴趣的是资本进入并暂时存在的不同阶段的特征,以及资本怎样从一个形态转变为另一个形态。他提出的中心问题是:这些不同的形式有哪些不同的可能性和能力?从一个形态到另一个形态的转变会遇到什么问题?用蝴蝶的生命周期来类比可以帮助我们理解。蝴蝶产卵;卵变成毛虫,到处爬行,寻找食物;毛虫变成蝶蛹,生活在起保护作用的茧中。最终,一只美丽的蝴蝶从茧中蜕变;蝴蝶会自在地飞翔,直至产卵,重新开始新一轮的循环。在每一个阶段中,有机体会显示出不同的能力和力量:作为卵或蝶蛹,它是静止不动的,但是在成长着;作为毛虫,它到处爬行觅食;作为蝴蝶,它可以自由飞翔。资本也是这样:在货币形态,资本可以像蝴蝶一样到处自由地“飞翔”;在商品形式上,资本就像毛虫一样,到处寻找想要、需要或是渴望得到它,有支付能力并最终消费它的人;作为劳动过程,资本植根于“生产的隐秘之处”(马克思在第一卷中提到),在这里,物质活动将自然要素转化为商品的生产。它通常是被限制在一处的,至少在生产商品的时间内是这样的(我们会看到交通运输是一个重要的例外)。
  对我来说,这些差别具有直接的启发意义。资本在不同形态下进行的空间和地理运动的差异,对于理解我们统称为“全球化”的过程有重要启发。循环过程中的每一个“时刻”——货币,生产活动,商品——表现出不同的可能性。货币是最具备地理移动性的资本形式,商品的移动性差一点,生产活动移动起来则难得多(尽管也不是不可能的)。这样的一般性描述中也有许多可变性。一些商品形式要比其他形式更容易移动,其便捷性也和交通运输能力有关(集装箱化使得从法国或斐济将瓶装水运往美国成为可能)。不同形态的资本在移动上得到不同的授权,这对资本如何在世界舞台上运作有巨大的影响。赋予金融资本相对于其他形式的资本(例如生产资本和商业资本)更大的流动权力,就等于引入这种具有高度流动性或“自由飞翔”的资本形式——这正是近几十年来资本主义的特征。这些话题马克思并没有研究,但我们没有理由不去研究。马克思关注的是形态变化的其他特征,以及可能出现的差异和矛盾。
  这引出了马克思感兴趣的第二个主要问题。第二个问题聚焦于循环过程本身发生扰动和危机的可能性。他在第一卷中清楚地表明,从一个时刻到另一个时刻的过渡从来就不轻松。例如,从价值的一般形式(货币)过渡到价值的特殊形式(商品)要比从相反方向进行的过渡容易(他说商品可能“爱货币”,但是“真爱情的道路决不是平坦的”)。通过售卖商品得到货币的人,没有必要立刻去购买。个人可以持有或贮藏货币。这印证了马克思在第一卷中对萨伊定律的严厉批判。萨伊认为买和卖总是保持均衡的,因此绝不会有普遍的生产过剩危机(李嘉图也接受了这一命题)。但是正如凯恩斯后来指出的,持有或贮藏货币具有永恒的诱惑力,因为货币是私人占有的社会权力的一般形式。马克思指出,贮藏货币也具有社会必要性(我们会在第二卷中频繁发现这样的例子)。但是如果每个人都持有货币,却没有人购买商品,那么循环过程就会阻塞,直到最终轰然倒塌。“因此,这些形式包含着危机的可能性,”马克思在第一卷中谈道,“但仅仅是可能性。这种可能性要发展为现实,必须有整整一系列的关系,从简单商品流通的观点来看,这些关系还根本不存在”。[3]第二卷在某种程度上关注这些可能性转化为现实性的可能方式,尽管是以令人沮丧的含糊不清和技术性的方式。
  马克思也在第一卷中指出,独立形成的货币危机是非常有可能的。商品数量和价格不断波动,我们必须找到调节货币供给的方法,使之适应商品生产的波动。在这里,贮藏货币是绝对必要的,它为经济极度活跃时期提供了可利用的储备资金。当货币成为计算货币时,对商品货币(金银)的需求就可以避开了。余额可以在年末结清,从而减少了对实际货币(硬币,铸币,纸币)的需要。但是使用计算货币创造了一种新的关系,即债务人和债权人之间的关系。马克思在第一卷中谈到,这产生了一种矛盾,一种对立,它

  在生产危机和商业危机中称为货币危机的那一刻暴露得特别明显。这种货币危机只有在一个接一个的支付的锁链和抵消支付的人为制度获得充分发展的地方,才会发生。当这一机制整个被打乱的时候,不问其原因如何,货币就会突然直接地从计算货币的纯粹观念形态转变成坚硬的货币。这时,它是不能由平凡的商品来代替的。[4]

  换句话说,你不能再用欠条结账;你必须找到现金,即一般等价物和价值的代表,然后付清账单。如果不能找到现金,那么

  商品的使用价值变得毫无价值,而商品的价值在它自己的价值形式面前消失了。昨天,资产者还被繁荣所陶醉,怀着启蒙的骄傲,宣称货币是空虚的幻想。只有商品才是货币。今天,他们在世界市场上到处叫嚷:只有货币才是商品!他们的灵魂渴求货币这惟一的财富,就像鹿渴求清水一样。在危机时期,商品和它的价值形态(货币)之间的对立发展成绝对矛盾。[5]

  第二卷的分析阐明这个问题了吗?答案既是肯定的,又是否定的。在第二卷中,马克思为理解流通中危机的可能性转变为现实性的那些条件奠定了基础。但是,他并没有充分证明为什么这种可能性必然而不是可能成为现实,也没有说明它是在何种条件下成为现实的。从某种程度上说,这是由马克思不愿意讨论分配的特殊性造成的。马克思没有在第二卷中分析信用的作用,因为那是分配的特殊性。但很明白的是,在整个第二卷中,信用对生产的一般性具有重要的影响,进而也影响了实际的资本运动规律。不考虑任何分配和交换的特殊性,形成一个一般的危机理论似乎也就无从说起。
  第三个问题更不明确,出现在涉及资本自身的“本质”的定义的那些章节。我不确定“本质”这个词语是否恰当,但我认为这些章节确实为思考资本可以采取的不同形式提供了可能性,并且询问了某种形式是否具有优先权。这不同于说资本仅仅是“运动中的价值”,或是图1所示的总循环。可不可以说资本循环的某个阶段要比其他阶段更重要,尽管它们谁也离不开谁?我们需要注意这些问题,因为它们有着深刻的政治含义。但是马克思自己并没有梳理这些政治含义。这是我们要做的事情。

  马克思在第二卷的第一页勾勒出资本循环的总公式后,规定了他自己的研究所基于的假设前提。他假定“商品是按照它们的价值出售的,而且假定这种出售是在不变的情况下进行的。所以,也把在循环过程中可能发生的价值变动撇开不说”。[6]第二卷中不考虑任何系统性的技术和组织的变革,正如已经提过的,这与第一卷的关注点极为不同。劳动生产率不变(实际上是抽象掉了相对剩余价值的生产)的假设使第二卷与事实有差距。但是马克思坦率地认为,他只有这样才能够识别资本循环中的关键关系,可以日后再将其综合到一个更加实际的资本循环和积累模型中。
  组成资本循环的交换链条的第一个环节(形态变化)是用货币购买劳动力和生产资料。货币资本“表现为预付资本的形式”。和往常一样,“表现为”这个词意味着虽然看上去如此,但实际可能是另一回事。“作为货币资本,资本处在能够执行货币职能的状态中。在当前考察的场合,就是处在能够执行一般购买手段和一般支付手段的职能的状态中……这种能力所以产生,不是由于货币资本是资本,而是由于货币资本是货币。”不是所有的货币都是资本,也不是所有的买卖活动——甚至是劳动力的买卖(例如个人服务或家庭帮佣的情形)——都是资本的循环和积累中的一环。货币职能之所以变成货币资本是“因为货币职能在资本运动中有一定的作用”,这取决于它们和“资本循环的其他阶段”的联系。只有嵌入到资本总循环中,货币职能才具有资本职能。那时,且只有那时,货币才成为“资本的表现形式”。[7]所以,既有货币,也有发挥资本职能的货币。两者不是一回事。
  当被用来购买劳动力(M—LP)时,货币实际上退出了资本循环,即使劳动者用他们的货币工资购买他们在资本家控制下生产的商品。劳动者为了获取货币以购买生活必需品而放弃了他们的商品(劳动力),所以货币又返回了资本循环。劳动者生活在C—M—C的循环形式(马克思更喜欢标记为L—M—C)中,这不同于M—C—M′的资本循环。在L—M—C的循环运动中,马克思指出,“它的资本性质消失了,但它的货币性质保留下来”。[8]随后他扩展了这个主题:

  雇佣工人只能靠出卖劳动力来过活。劳动力的维持,即工人自身的维持,要求每天进行消费。因此,必须每隔一个较短的时期付给他一次报酬……因此,资本家必须不断作为货币资本家,他的资本必须不断作为货币资本,和雇佣工人相对立。另一方面,要使广大的直接生产者,广大的雇佣工人能完成L—M—C行为[L指出卖劳动力],必须不断有必要的生活资料以可买形式即商品形式和他们相对立。因此,这种情况要求产品作为商品的流通已经有了高度的发展,从而商品生产也已经有了广泛的规模。[9]

  在马克思看来,M—LP的运动经常被错误地看作“货币资本转化为生产资本的一个具有特征性质的因素”,因此,“被看作是资本主义生产方式的特征”。但是“货币很早就已经作为所谓服务的买者出现了,而M并没有因此转化为货币资本,经济的一般性质也没有因此发生变革”。[10]真正开始资本的循环,需要劳动力首先作为商品出现在市场上。“成为特征的,并不是劳动力这种商品能够买卖,而是劳动力成为商品。”货币可以被当成资本花费,“只是因为劳动力处在和它的生产资料分离的状态中”,也是因为生产资料所有者所处的位置,可以:

  使劳动力的使用权归属于买者。而使用这种劳动力的界限,和劳动力本身价格的再生产所必需的劳动量的界限,又决不是一致的。资本关系所以会在生产过程中出现,只是因为这种关系在流通行为中,在买者和卖者相互对立的不同的基本经济条件中,在他们的阶级关系中本来就已经存在。不是由于货币的性质产生了这种关系;相反,正是由于这种关系的存在,单纯的货币职能才能转化为资本职能。[11]

  所以,资本循环发生的第一个主要先决条件是,“资本家和雇佣工人的阶级关系……已经存在了”。[12]这是第一卷的重要主题,尤其是在原始积累部分。马克思在这里重申了劳动力作为商品的存在“就得先有一定的历史过程,把原来的生产资料和劳动力的结合分开”。[13]
  “生产的物的因素和人的因素是由商品构成的”,所以资本家就得“通过货币资本到生产资本的转化,来完成这两个因素的结合”。如果要让工人立即开始干活,那么资本家必须“在购买劳动力之前,首先购买厂房、机器等生产资料”。[14]但是这要求这种商品——生产资料——也容易在市场上获得。“要使资本能够形成并且能够支配生产,需要商业发展到一定的阶段,因此也需要商品流通从而商品生产发展到一定的阶段。”[15]只有这样,客观因素(生产资料)才能在生产中与主观因素(劳动力)结合起来。
  资本循环发生的第二个主要先决条件是:以售卖为目的的一般商品生产必须已经存在。只有这样资本家才能在市场上购买到生产资料,也只有这样雇佣劳动者才能获得再生产自身所需的消费品。如果这些先决条件没有实现,那么货币就不能执行资本的职能。
  马克思在这里纠正了把资本主要理解为货币的观念,他花费了大量的篇幅来说明原因。但是,一旦雇佣工人阶级存在,并且能够再生产自身,那么转化的动力就开始运转了:

  那些造成资本主义生产的基本条件,即雇佣工人阶级的存在的情况,也促使一切商品生产过渡到资本主义的商品生产。资本主义的商品生产越发展,它对主要是直接满足自己需要而只把多余产品转化成商品的每一种旧生产形式,就越发生破坏和解体的作用。它使产品的出售成为人们关心的主要事情,它起初并没有显著地侵袭到生产方式本身,例如,资本主义的世界贸易对中国、印度、阿拉伯等国人民最初发生的影响就是如此。但是接着,在它已经扎根的地方,它就会把一切以生产者本人劳动为基础或只把多余产品当作商品出售的商品生产形式尽行破坏。它首先是使商品生产普遍化,然后使一切商品生产逐步转化为资本主义的商品生产。[16]

  在这些历史转变发生之后,资本就会以“纯粹的”方式自由地开始循环:

  因此,不言而喻,只有在已经发展的资本主义生产的基础上,货币资本循环的公式,M—C…P…C′—M′,才是资本循环的当然形式,因为它是以雇佣工人阶级的社会规模的存在作为前提的。我们已经知道,资本主义生产不仅生产商品和剩余价值;它还再生产并且以越来越大的规模再生产雇佣工人阶级,把绝大多数直接生产者变为雇佣工人。[17]

  我在别处讨论过——不仅和马克思在第一卷的叙述有关,而且也是我自己的观点——马克思更偏向于我所说的“辩证的、协同演化的社会变迁理论”。[18]这个观点和第二卷的论述是兼容的。这似乎是摆脱关于资本主义起源的“鸡与蛋”式争辩的惟一办法。阶级关系和一般商品生产(暗含的是货币形式)必须先于资本而出现,但是资本的发展使这些先决条件一般化了。
  资本循环的第二个阶段是生产资本阶段。马克思没有花费太多精力阐述,因为毕竟它是第一卷中的分析的基本形式。这个阶段承担了劳动过程中劳动力和生产资料的生产性消费。

  运动表现为M—C…P,这里的虚线表示:资本流通被中断,而资本的循环过程在继续,资本从商品流通领域进入生产领域。因此,第一阶段,从货币资本到生产资本的转化,只是表现为第二阶段即生产资本的职能的先导和先行阶段。

  劳动力和生产资料结合在一起的特殊方式“使社会结构区分为各个不同的经济时期”。就资本主义来说,

  自由工人和他的生产资料的分离,是既定的出发点……形成商品的人的要素和物的要素这样结合起来一同进入的现实过程,即生产过程,本身就成为资本的一种职能,成为资本主义的生产过程。而关于资本主义生产过程的性质,我们已经在本书第一卷作了详细的阐述。商品生产的每一种经营都同时成为剥削劳动力的经营;但是,只有资本主义的商品生产,才成为一个划时代的剥削方式,这种剥削方式在它的历史发展中,由于劳动过程的组织和技术的巨大成就,使社会的整个经济结构发生变革,并且不可比拟地超越了以前的一切时期。[19]

  生产资料和劳动力于是都转变成了“预付资本价值的存在形式”。同样地,它们“区分为不变资本和可变资本”。“正如人类劳动力并非天然是资本一样,生产资料也并非天然是资本”。马克思又一次总结了剩余价值理论:“生产资本在执行职能时,消耗它自己的组成部分,使它们转化为一个具有更高价值的产品量。” 因此,“产品不仅仅是商品,而且是包含着剩余价值的商品”。[20]生产资本的职能是“资本价值借以生出价值的唯一职能”。[21]
  在循环过程的第三个阶段,我们需要面对商品资本形式的资本。正如货币形式的资本只能执行货币的职能,生产资本只能进行生产一样,商品形式的资本“必须执行商品的职能”。[22]现在,C′的职能(含有剩余价值的商品)

  是一切商品产品的职能:转化为货币,卖掉,经历流通阶段C—M。只要现在已经增殖的资本保留商品资本的形式,停滞在市场上,生产过程就会停止。这个资本既不会作为产品形成要素起作用,也不会作为价值形成要素起作用。由于资本抛弃它的商品形式和采取它的货币形式的速度不同,或者说,由于卖的速度不同,同一个资本价值就会以极不相同的程度作为产品形成要素和价值形成要素起作用,再生产的规模也会以极不相同的程度扩大或者缩小。[23]

  我们在这里将一个非常重要的新维度引入马克思的理论框架。从一个形态转到另一个形态的速度是一个非常重要的变量。它受“和资本的价值量无关的新的潜能,即资本的作用程度的新的潜能,资本的扩张和收缩的新的潜能”[24]的影响。当资本家受竞争的强制规律驱动,使用加速生产、缩短周转时间等方法时,不仅改变了当时的资本循环的框架,也改变了日常生活的框架。那些促进加速的“独立的、新的潜能”的性质需要得到研究。这形成了第二卷中的一个非常有吸引力的研究领域。
  C′—M′的循环使“同时包含在商品资本中的剩余价值”以货币形式实现,于是结束了资本形态变化的第三个阶段。但是要记住,剩余价值

  只是在生产过程中产生的。因此,它是第一次在商品市场上出现,并且以商品形式出现;商品形式是它的第一流通形式,因此,c-m行为,也是它的第一流通行为或它的第一形态变化,因而还要由相反的流通行为或相反的形态变化m-c来补充[25](小写字母表明马克思这里只是讨论剩余价值的运动,不是总资本——C′和M′——的运动)。

  剩余价值的生产实际上是资本的生产,并且将剩余价值的全部或部分用于追加投资是资本再生产的基础。
  因此,这里要指出两点。“第一,资本价值最后再转化为它原来的货币形式,是商品资本的职能。第二,这种职能包含着剩余价值的第一形式转化,即剩余价值由原来的商品形式转化为货币”。[26]结果,“资本价值和剩余价值现在都是作为货币存在的,因而都处在一般等价物的形式中”。我们在这里得到了一个暗示,所暗示的事情随着文本的展开会越来越重要:商品资本在整个循环过程中具有与众不同的重要地位,即作为商品中蕴含的剩余价值向货币形式转换的转换器。

  因此,资本价值在过程终结时,又处在它进入过程时的相同的形式中,因而能够重新作为货币资本开始并完成这个过程。正因为这个过程的开始形式和终结形式都是货币资本的形式(M),所以,我们就把这个循环过程的形式叫做货币资本的循环。在终结时发生变化的,不是预付价值的形式,而只是它的量。[27]

  因此,货币资本循环反映了“开始形式和终结形式都是货币资本的形式”。一旦剩余价值作为资本实现,作为“一个已经生出价值的价值”实现,作为循环过程的“目的和结果”实现,那么M“已经不再是单纯的货币,而是明显地成了货币资本,它表现为一个已经自行增殖的价值”(马克思在第一卷所说的“会下金蛋的鹅”)。然而,当资本化的剩余价值再次进入循环过程时,它仅作为货币发挥作用,已收回的初始预付货币和剩余价值之间的区别消失了。它再次执行纯粹的货币职能。所以,尽管我们想从概念上区别一种“货币资本”(作为资本使用的货币)和另一种“货币资本”(返回到货币形式的资本),“货币资本和商品资本,都是资本的存在方式……使它们互相区别的特有职能,只能是货币职能和商品职能之间的区别”。
  然而,“商品资本,作为资本主义生产过程的直接产物,使人想起它的这种起源,因而,它在这种形式上比货币资本较为合理,不像货币资本那样没有概念,在货币资本中,资本主义生产过程的任何痕迹都已消失,正像在货币上商品的一切特殊的使用形式都消失一样”。[28]
  当区别消失时,我们需要坚持“概念上的区别”,因为这揭示了资本的运动规律的奥秘。转化成货币的剩余价值m,可以被花费掉。但是花到哪里去呢?一部分进入资本家的消费(花费在生活必需品和奢侈品上,马克思稍后会进行解释)。但也有一部分被用作货币资本,因此巩固了积累的扩张。
  自始至终,马克思坚持了一系列的看似微不足道的区别。他为什么这么做呢?这个问题的答案在最后一部分表现得更为明显,他在那里考察了作为整体的循环。马克思写道,

  资本表现为这样一个价值,它经过一系列互相联系的、互为条件的转化,经过一系列的形态变化,而这些形态变化也就形成总过程的一系列阶段。在这些阶段中,两个属于流通领域,一个属于生产领域。在每个这样的阶段中,资本价值都处在和不同的特殊职能相适应的不同形态上。在这个运动中,预付的价值不仅保存了,而且增长了,它的量增加了。

  在这个形成了一个“循环”的“总过程”中,确切的职能和类别可以定义如下:

  资本价值在它的流通阶段所采取的两种形式,是货币资本的形式和商品资本的形式;它属于生产阶段的形式,是生产资本的形式。在总循环过程中采取而又抛弃这些形式并在每一个形式中执行相应职能的资本,就是产业资本。这里所说的产业,包括任何按资本主义方式经营的生产部门。[29]

  考虑到这个词语现在的内涵,产业资本不是一个合适的概念。但是马克思想用这个词语表达的是这种资本循环:它经历了创造剩余价值的劳动过程,之后它通过总过程的其他环节得以实现和再生产。“货币资本,商品资本,生产资本,并不是指这样一些独立的资本种类,这些独立的资本种类的职能形成同样独立的、彼此分离的营业部门的内容。在这里,它们只是指产业资本的特殊的职能形式,产业资本是依次采取所有这三种形式的。”
  通过把他自己限制到纯粹的形式化分析中,马克思避免了讨论不同的当事人。这些当事人确实依附在不同职能的资本上。金融和货币资本家依附于货币职能,产业资本家依附于生产职能,商业资本家依附于商业职能。因此,从历史上看,产业资本循环的总体不仅包括相互交织的不同循环,而且包括不同当事人的活动——不同的资本派别从剩余价值中攫取不同的份额。然而在第二卷中,马克思并没有讨论这些派别的作用。他更偏向于使任何事情都处于完全合乎逻辑和有条理的状态。我认为他这样做是因为,如果马克思介绍了不同当事人的历史作用以及在他们之间发生的斗争,全部的阐释将变得模糊不清,以致会掩盖马克思当作基本职能的东西。的确,在第一卷的很多地方,他批评了亚当·斯密认为这些不同派别的资本是完全独立和自主的资本形式的观点。马克思把它们看作是由产业资本分化出来却又不可避免地纠缠在一起的不同形式。
  然后,马克思插入了一个非常重要的观点:

  资本的循环,只有不停顿地从一个阶段转入另一个阶段,才能正常进行。如果资本在第一阶段M—C停顿下来,货币资本就会凝结为贮藏货币;如果资本在生产阶段停顿下来,一方面生产资料就会搁置不起作用,另一方面劳动力就会处于失业状态;如果资本在最后阶段C′—M′停顿下来,卖不出去而堆积起来的商品就会把流通的流阻塞。

  在这里提出了阻碍或堵塞循环过程的思想,但仅仅是以纯粹形式化的方式:

  理所当然的是,循环本身又要求资本在各个循环阶段中在一定的时间内固定下来。在每一个阶段中,产业资本都被束缚在一定的形式上:货币资本,生产资本,商品资本。产业资本只有在完成一种和它当时的形式相适应的职能之后,才取得可以进入一个新的转化阶段的形式。[30]

  这意味着资本不可能平稳、持续地通过循环,它在运动中必然要经历一些停顿。后面将频繁研究这些潜在的阻碍、停顿和堵塞,尽管没有提及各派资本的利益和当事人。这样做的好处是我们可以看清资本持续循环可能遇到的障碍,也指明了也许能阻止这些障碍成为不可克服的堵塞的方法。坏处是它使对第二卷的分析处于一种形式化区分的枯燥无趣状态;它使我们阅读第三卷时心里想着这个形式化的基础——大部分关于历史上的危机的理论都是建立在这个基础上的。
  在本章中,马克思还插进了一些关于运输业和通讯业对循环过程的作用的评论。[31]由于第5章末尾又谈到了这个问题,我们稍后再讨论。

  那么,总体画面是怎样的呢?我们用下面的形式来表示产业资本的循环:


  我们立即就能在图1中发现,这一公式可以分解成三个互为条件的不同循环——货币资本循环,生产资本循环和商品资本循环。如果要实现剩余价值,货币资本循环必须协调好生产资本和商品资本循环的条件。生产和商品资本循环也受到相同的限制。任一循环的中断都会对其他循环造成灾难性的后果。因此,作为总体的循环过程有发生多种危机的可能。当我们引入第三卷的内容,将资产阶级分解成在同一循环过程中具有不同利益和观点的派别时——生产者、商人和金融家,我们将有更具说服力的理由来担心马克思称之为产业资本的整个循环过程的稳定性。
  货币资本形式对于整个产业资本循环过程的重要性还有待估计。货币不仅仅是过程的起点,而且也是终点。然而,要记得,货币形式仍然是价值的代表,这也是我们能具体衡量已经生产出来的剩余价值的惟一方法:“正因为价值的货币形态是价值的独立的可以捉摸的表现形式,所以,以实在货币为起点和终点的流通形式M…M′,最明白地表示出资本主义生产的动机就是赚钱。生产过程只是为了赚钱而不可缺少的中间环节,只是为了赚钱而必须干的倒霉事。”[32]货币可能是终极的拜物教,但它确实是资本家的圣杯,因为“发财致富本身才是生产的自身目的”。没有“金光闪闪的货币形式”,资本家就没有动力;没有资本的货币形式的实现,报酬就没有可捉摸的衡量载体。
  但是这种实现取决于消费——不仅包括其他资本家的生产性消费,还包括其他人的最终消费。在第二卷中我们第一次看到这样的观点,即工人阶级的消费可能有一定的作用[33]。但是马克思随后添加了一段关于国家间贸易和重商主义的有趣的评论。他说,重商主义的辩护人有一套“冗长的说教”:

  资本家个人只应该和工人一样消费,资本家国家应该把它们的商品让给其他比较愚昧的国家去消费和进行消费过程,而相反地应该把生产消费当作自己的终生事业。这种说教在形式上和内容上往往使人想起教父们类似的禁欲诫条。[34]

  有一些人,例如凯文·菲利普斯[35],相信我们在过去十几年里经历了重商主义阶段,而美国担当的正是最愚昧的国家的角色(进行债务支撑的消费主义),中国人和德国人则以美国消费者为代价储蓄和积累了大量的贸易盈余。奥巴马当局在出席2010年秋季在首尔举行的G20峰会时,提议减少全球体系中的贸易不平衡,中国和德国是反对这个提议的主要国家。所以,某种形式的重商主义确实存在,而且状况良好——美国似乎仍然乐于担当最愚昧的国家的角色。
  马克思为本章写的结束语很重要:“货币资本的循环,是产业资本循环的最片面、从而最明显和最典型的表现形式;产业资本的目的和动机——价值增殖,赚钱和积累——表现得最为醒目(为贵卖而买)。” 和往常一样,我们必须意识到“表现”并不意味着“是”:“只要货币资本的循环始终包含着预付价值的价值增殖,它就始终是产业资本的一般的表现。”然而,从生产的角度来看,“资本的货币表现,只是作为生产要素的价格。”不过,M—M′的循环最为醒目是有原因的,因为它不仅作为起点出现,而且它促进了购买力以工资的形式流向劳动者,也促进了利润流向资本家,从而促进了他们的消费;它“在形式上具有欺骗性”,甚至带有一种“虚幻的性质”。[36]“只要把这种形式不是当作循环形式的一种,而是当作惟一的循环形式,它的虚幻的性质以及与它相适应的虚幻的解释就会存在。”马克思的基本观点是货币循环不能“仅凭自己”存在,而必须“指出其他的形式”。当我们着眼于通过不同形式(货币、生产、商品)不断重复的资本循环时,我们看到货币“只是生产资本不断反复的循环的转瞬即逝的准备”。从这点来看,“资本主义生产过程是早已作为前提存在的”。[37]


论第2章:生产资本的循环



  生产资本循环的重要性如此明显,以至于马克思并没有多费笔墨:剩余价值是而且只能是在生产的“隐秘之处”生产出来的。从生产资本的立场来看,在返回到劳动过程中去开始生产剩余价值的真正的游戏之前,所经历的流通过程看起来是必须做的恼人的事:“产业资本的总流通过程,它在流通阶段的全部运动,只是作为始极使循环开始的生产资本,和作为终极以同一形式即以循环重新开始的形式使循环结束的生产资本这二者之间的中断,从而只是二者之间的中介。”[38]但是,我们现在应该能预期到,商品和货币形式的运动会面临许多陷阱和危险。形式化要求是:凝结在商品中的价值和剩余价值必须通过销售并以货币的形式实现;原有的货币和部分利润被用来购买生产资料和劳动力以在扩大的规模上重复进行生产过程。从形式上看,循环步入到下一个阶段,即C′—M′,紧接着是M—C,以及额外的货币形式的剩余价值的循环,m-c。
  我们需要考虑两种情况。第一种情况是简单再生产,即所有的剩余价值都被消费掉,没有用于投资(见第一卷第23章和第二卷第20章);第二种情况是扩大再生产(见第一卷第24章和第二卷第21章)。虽然马克思知道单纯的简单再生产在资本主义条件下是不可能的,但他还是下了大力气来研究。我猜测部分原因是,他发现在简单再生产的模型下,更容易建立产业资本愉快地不断循环下去所需要的形式关系和条件。他认为这些强制性条件也适用于(尽管以更加复杂的形式,取决于资本家怎样分配再投资和消费)更加实际的扩大再生产模型中。
  在简单再生产的情况下,剩余价值m必须全部用于个人消费。如果资本家阶级持有货币,却没有去消费的话,那么商品资本就不能以货币形式实现。因此,我们第一次发现资本家消费对于资本主义的稳定性的重要作用:“m-c是一系列用货币进行的购买。资本家或是用这个货币购买真正的商品,或是用来支付他自己的尊体或家庭的服务费用。这种购买是分散的,是在不同期间进行的。因此,这种货币暂时采取专供日常消费之用的货币储备或贮藏货币的形式。”[39]这种货币“不是预付的,而是花掉的”。所以资本家必须已经持有货币。
  这是一个有趣的主题,我们会在第二卷中多次看到。用来购买剩余价值的额外的货币来自哪里呢?资本家用自己的货币购买凝结在商品中的剩余价值,以增加个人消费。当然,这以生产资本生产了资本家想要的商品为前提(尽管马克思在这里没有提到这一点)。m-c循环(小写字母表明我们没有涉及总资本,只是涉及剩余价值),“以资本家的存在为条件,而资本家的存在又以他消费剩余价值为条件”。[40]
  顺便提一下,马克思注意到资本家支付商品的方式某种程度上取决于所生产的商品的性质。马克思提到了一个关于伦敦建筑业的有趣的案例(至少对我来说是这样),“这种营业大部分依靠信用经营,建筑业主依照房屋建造的各个阶段取得垫款”。[41]进一步,最终商品的消费可以“在时间和空间上同这个商品量作为资本家的商品资本执行职能时所经历的形态变化完全分离开来”。[42]商品和支付如何随时间和空间移动在这里有所暗示,但是并没有发展成一个分析的领域。这是我在我的一些著作中努力研究的事情。
  已复归的初始货币资本必须通过购买劳动力和生产资料再度循环到生产性消费领域。虽然初始的M是预付的,再次进入循环的货币不得不重新定义为货币资本——它已经通过C′—M′运动生产出来并且得到了增殖。这个含义上的改变非常重要。它呼应了在第一卷中提出的观点,即经过一段时间后,劳动再生产出了原预付资本的全部价值的等价物。根据马克思对洛克的观点的解释——所有权应归属于将他们的劳动和土地结合起来创造价值的人,流通中的价值的所有权应该属于劳动者,而不是资本家(资本家实际上消费了初始资本)。马克思指出,再次进入生产的M是“过去劳动的表现”,并不仅仅是纯粹的货币资本。
  但是,循环过程中不可避免地存在时间上的差异。“C—M和M—C的实现在时间上可以有相当显著的差异。”循环的时间性很重要。马克思立即在这里列举了一些例外的情形。在一些情形中,“M可以代表在市场上还根本没有出现,将来才会出现的商品的转化形式”。[43]为还未生产的商品预付货款是可能的。甚至连工人也能提前预支尚未生产出来的商品——实际上是支出未来劳动的工资。可能的时间安排是非常复杂的,正如我们稍后将会看到的,信用制度的作用变得很重要。
  但是,从商品到购买劳动力和生产资料的运动变得困难,也有结构性的原因。“如果第二形态变化M—C遇到障碍(例如市场上缺乏生产资料),循环,再生产过程的流,就会中断,这和资本凝结在商品资本形式上的情形一样。但有一个区别:资本在货币形式上,比在易逝的商品形式上,能坚持较长的时间。”[44]在第一卷中,一般认为C—M比M—C更加困难,因为货币是一般等价物,而商品只是特殊等价物。我们在这里又遇到了另一个问题,因为生产资本需要高度专业化的生产资料才能实现再生产。如果铁矿石的供给枯竭了,那么钢铁生产就不能实现再生产。钢铁生产对固定资本的高度依赖(比如高炉),使得它们的供给的任何中断都会给钢铁生产者造成巨大损失。尽管马克思没有明确指出,但是再生产也假定随时能获得有必要技能的工人。但是至少M不会腐坏,所以循环在该点受到阻碍要比资本在商品形式(尤其是商品易腐坏时)受到阻碍问题要小得多。货币及时转化为生产性消费的要素对生产资本的再生产来说是必须的。马克思又给了拥护萨伊定律的经济学家一记猛烈的重击:“这样一种由剩余价值的生产所决定的用商品代替商品,和本来的产品交换(只是以货币为中介)完全不同。可是,经济学家们竟以此证明生产过剩是没有可能的。”[45]
  然后,我们需要考虑工人的消费。他们通过参与L—M—C循环谋生,出卖劳动力以获得货币,用它们购买生活必需品以按照一定的标准生活。这只不过是暂时将价值从资本循环中取出来,很快又会重新投入到循环过程中,就像第一卷中描写的“老板自己开设的杂货店”关系那样。“第二个行为M—C不进入单个资本的流通,虽然它是从单个资本的流通中出来的。不过,对于资本家阶级来说,工人阶级的经常存在是必要的,因此,以M—C为中介的工人的消费,也是必要的。”[46]我们随后会在第20章和21章中发现,这些观点为什么不是从单个资本家的视角,而是将资本的总循环看作一个整体时得出的。
  我们现在看看所有这些内容是如何被概念化的。货币,当在资本家手中通过购买劳动力转化成可变资本的时候,执行资本的职能。但是,同样的货币一旦流到工人的手中,就不再执行资本的职能。它也经历了形式的形态变化,因为它现在仅仅是市场上的购买者手中的货币,从而可以按工人需要的、想要的或喜欢的方式使用。一旦工人用它购买了商品,货币就再次回到了资本家手中;如果资本家不将它用于消费的话,货币就能回到资本的形式。这正是马克思用关联的视角从全局看问题的方法。需要着重指出一点,如果工人将收入用来赌博(甚至是储蓄),而不是用来购买商品,那么循环过程的连续性就会遭到破坏。因此第二卷最后关注建立工人阶级的“合理消费”,将之作为稳定积累的条件的问题。如果假定货币资本在循环过程的每一个时点上都完全处于控制之下,那么问题就不存在了。尽管就工人的消费与资本的关系而言,马克思在别处一般将工人阶级整体描述成被关在“老板自己开设的杂货店”里消费的群体,但是他在这里为质疑这个假设开辟了一条新的道路。
  马克思认为,商业资本家介入并接管协调C′—M′转化的工作,不会对这些内容造成实质性的影响。因为,在最后的分析中,“整个过程继续进行,与此同时,由此决定的资本家和工人的个人消费也继续进行。这一点在考察危机时很重要”。如果出现某种形式的危机的话,我们不应该从根本上把它归因于商业资本家的运营(例如,不应该责备沃尔玛)。我们需要深入考察资本家和工人阶级的消费的作用,将其看作是潜在的症结:

  产品只要卖出,在资本主义生产者看来,一切就都正常……那么随着资本的这种再生产,工人的个人消费(需求)也可能扩大……这样,剩余价值的生产,从而资本家的个人消费,可以增长起来,整个再生产过程可以处在非常繁荣的状态中,但商品的一大部分只是表面上进入消费,实际上是堆积在转卖者的手中没有卖掉,事实上仍然留在市场上。这时,商品的潮流一浪一浪涌来,最后终于发现,以前涌入的潮流只是表面上被消费吞没……以前涌入的商品还没有变成现金,支付期限却已经到来。商品持有者不得不宣告无力支付,或者为了支付不得不给价就卖。这种出售同需求的实际状况绝对无关。同它有关的,只是支付的需求,只是把商品转化为货币的绝对必要。于是危机爆发了。它不是表现在消费需求,即个人消费需求的直接缩减上,而是表现在资本对资本的交换,即资本再生产过程的缩减上。[47]

  马克思区分了两类需求:工人和资本家的最终消费需求,以及资本家之间关于维持生产性消费的商品的贸易和需求。他在这里提出了这个非常新颖的观点:危机可能产生于资本和资本之间在组织与生产性消费有关的商品流和货币支付流中的关系。在个人消费领域表现出来的工人和资本家的有效需求不足,事实上可能是由于生产资料的购买和售卖的循环过程出现了问题。这是危机的一般性理论,还是在讨论生产资本循环时顺带提出的可能性呢?我的基本观点是,我往往首先把这样的论述当作因情况而异的、在给定条件下才会出现的可能性。当然,这并不意味着这样的论述也许最终也不能被证实具有更广泛的一般性,但是我们必须证明这一特殊视角是如何阐释资本主义的危机倾向的。
  例如,关于工人阶级的有效需求和消费,马克思在第二卷中有两处看似非常矛盾的论述:

  资本主义生产方式中的矛盾:工人作为商品的买者,对于市场来说是重要的。但是作为他们的商品——劳动力——的卖者,资本主义社会的趋势是把它的价格限制在最低限度——还有一个矛盾:资本主义生产全力扩张的时期,通常就是生产过剩的时期;因为生产能力从来没有能使用到这个程度,以致它不仅能够生产更多的价值,而且还能把它实现。商品的出售,商品资本的实现,从而剩余价值的实现,不是受一般社会的消费需求的限制,而是受大多数人总是处于贫困状态、而且必然总是处于贫困状态的那种社会的消费需求的限制。[48]

  但是在另一个地方他又说:

  认为危机是由于缺少有支付能力的消费或缺少有支付能力的消费者引起的,这纯粹是同义反复。除了需要救济的贫民的消费或“盗贼”的消费以外,资本主义制度只知道进行支付的消费。商品卖不出去,无非是找不到有支付能力的买者,也就是找不到消费者(因为购买商品归根结底是为了生产消费或个人消费)。但是,如果有人想使这个同义反复具有更深刻的论据的假象,说什么工人阶级从他们自己的产品中得到的那一部分太小了,只要他们从中得到较大的部分,即提高他们的工资,弊端就可以消除,那么,我们只须提出,危机每一次都恰好有这样一个时期做准备,在这个时期,工资会普遍提高,工人阶级实际上也会从供消费用的那部分产品中得到较大的一份。按照这些具有健全而“简单”(!)的人类常识的骑士们的观点,这个时期反而把危机消除了。因此,看起来,资本主义生产包含着各种和善意或恶意无关的条件,这些条件只不过让工人阶级暂时享受一下相对的繁荣,而这种繁荣往往只是危机风暴的预兆。[49]

  第二个论述与第2章的精神更为一致,所以很明显,马克思认为从生产资本的角度展开的论述具有更普遍的重要性。于是我们就面临一个难题:该追随哪个观点?我自己的想法是(你也可以有自己的想法),这种情形可以出现,正如20世纪60年代末70年代初那样,劳动所得占国民产出份额的上升,即便不是全球资本主义危机的根本原因,也至少是其先兆。但是,不可能用这个观点来分析2007—2008年的经济崩溃。工人阶级的分配份额,无论是过高还是过低,虽然有重要影响,但还不足以解释资本的危机倾向。我们需要着重关注第二卷所说的内容(当然也包括其他地方的内容),探索这些理论内容可能是什么。此时此刻,从生产资本的观点来看,我们至少有了一部分危机形成理论。
  当资本循环遇到障碍,以至于“中止它的M—C职能”时,货币资本就会转化成“非自愿的货币贮藏”。这些货币因此“具有闲置的、潜在的货币资本的形式”。[50]马克思稍后会称之为“闲置的资本”。[51]这些是接下来的论述中的重要术语。
  扩大再生产的那部分内容并没有包含任何新奇的东西。我们从第一卷中得知,对于资本家来说,“他的资本的不断增大,成为保存他的资本的条件”。惟一令人感兴趣的问题是剩余价值中被资本化为新资本的比例是多少,对于这个问题并不存在黄金法则。P…P′循环所表示的,“不是剩余价值被生产出来,而是生产出来的剩余价值已经资本化”。[52]这又一次改变了我们对资本循环这个概念的认识。资本化的第一步是贮藏一定数量的从售卖商品中得到的货币,为扩大生产做准备。贮藏潜在的或闲置的货币是必要的,因为大多数工商业的扩张都需要资本达到一定的最低限额(建立更大的工厂,投资于机器设备,等等)。在得到充分财力以满足扩大再生产所需的最低限额之前,可能会要求“资本的循环必须多次反复”。这导致了以货币形式贮藏的必然性,因为“一个在资本循环之外完成的、为使剩余价值转化为实际执行职能的资本所进行的职能上确定的预备阶段……只要它停留在贮藏状态中,它就还不是执行货币资本的职能,而是闲置的货币资本;不是像前面所说的那种职能中断的货币资本,而是还不能执行职能的货币资本”。[53]坦率地讲,正如马克思所承认的一样,信用制度在这里扮演了重要的角色。没有信用制度,越来越多的资本会沉淀在“闲置”的状态,货币贮藏也会成为资本积累顺畅进行的严重障碍。但是我们不在这儿处理这个问题。


论第3章:商品资本的循环



  第二卷中更令人吃惊的一面是马克思对商品资本循环的关注。这样做的原因已经在生产资本循环的研究中预示过了。在将特殊形式的价值和剩余价值转化成作为一般等价物的货币的困难之外,我们现在再加上另一个困难:在市场中寻找必要的商品以满足特定劳动过程中的生产性消费的需要。资本家必须依靠其他资本家生产自己所需的生产资料。因此,主要是在商品资本的循环中,我们面临资本家之间特殊的相互关系和相互依赖的难题。随着第二卷内容的展开,越来越明显的是,这种资本家之间的相互关系受到充足供应(adequate supply)危机的可能性的困扰,更明显的问题可能是由有效需求不足引起的危机。
  然而,马克思对这个问题的分析主要局限于形式的职能和技术性的分析。商品资本的循环有许多特性。首先,商品含有等待实现的剩余价值。然而在货币和生产资本的情形,当循环过程重新开始的时候,剩余价值会“消失”,货币只能执行货币职能,生产活动只在它自己的范围内继续进行。在商品资本的情形,我们面对的始终是含有剩余价值的商品——循环的开始和结束阶段都如此。因此,我们来看看C′…C′的循环形式,在扩大再生产的情形,这意味着C′…C′′。这里强调的是,正是在商品资本的循环中,剩余价值以货币形式实现和对剩余产品、价值的吸收——不仅以个人消费,而且以生产消费的形式——对于作为总体的产业资本的持续循环来说,都是至关重要的。
  第二个特性是生产性消费的作用。“在一个单个的产业资本的循环中作为C的C′,不是这个资本的形式,而是另一个生产生产资料的产业资本的形式。第一个资本的M—C(即M—mp)行为,对这第二个资本来说,就是C′—M′。”[54]问题是剩余价值作为剩余产品(特殊的使用价值)隐藏在商品形式之中,将价值和剩余价值分开是不可能的,除非当商品价值以货币形式实现的时候。将已实现的M′分解为M+m,然后决定有多少m需要在扩大再生产中资本化,这是有可能的,但是这件事不能用铲车来完成。这对于某些产品来说也许是可能的,马克思使用了纱的例子,因为原则上是可以将初始价值C从C′中分离的。这促使马克思进行了复杂的和看似冗长的计算,以发现这是如何实现的。
  但是在所有这些背后,在商品资本的循环中有一个其他循环已经消失了的区别:既有剩余产品(以商品形式存在的已经扩大了的使用价值)又有剩余价值,后者实现的条件是为前者找到容身之地。不能不考虑使用价值的特殊性。相反,如果把部分处于货币形式的剩余价值资本化以扩大再生产,那么在市场上必须存在着剩余的使用价值,可以将之买来,作为额外的生产资料投入特定的生产活动:“在生产率不变的情况下,规模扩大的再生产(撇开对外贸易)只有在剩余产品的待资本化的部分已经包含追加生产资本的物质要素时才能进行。”[55]这是一个非常重要的条件,坦率地讲,如果达不到这个条件,就会给资本积累的顺畅进行造成严重的损害。
  生产性消费当然不是参与到该循环中的惟一的消费形式:

  在C′…C′形式中,全部商品产品的消费是资本本身循环正常进行的条件。全部个人消费包括工人的个人消费和剩余产品中非积累部分的个人消费。因此,消费是全部——个人的消费和生产的消费——作为条件进入C′的循环。[56]

  但是马克思继续谈到,所有的事情都被假定为社会的而不是个体的行为。他接着谈到了最重要的结论:

  正因为C′…C′循环在进行中要以另一个在C(=L+mp)形式上的产业资本为前提(并且mp包括各种其他资本,用我们的例子来说,包括机器、煤炭、润滑油等),所以,这个循环本身就要求我们不仅把它看作循环的一般形式,即能够用来考察每一个单个产业资本(第一次投资的场合除外)的社会形式,因而不仅看作一切单个产业资本共有的运动形式,而且同时看作各单个资本的总和即资本家阶级的总资本的运动形式,在这个运动中,每一个单个产业资本的运动,都只表现为一个部分运动,和其他部分运动交织在一起,并且受他们制约。例如,如果我们考察一个国家的全部年商品产品,分析其中一部分补偿一切单个企业的生产资本,另一部分进入不同阶级的个人消费的运动,那么,我们就把C′…C′看作社会资本和由这个社会资本产生的剩余价值或剩余产品的运动形式。[57]

  商品资本的循环很特别,它允许我们着眼于整体经济中的剩余价值和剩余产品(价值和使用价值)的总的流动。它能做到这点,恰恰是因为它必须集中于个别资本家之间的关系,这些资本家之间的活动相互交织,在总体经济中计算自身的投入和产出。它使我们形成了这个非常重要的观点——不仅从个别资本的角度,更是从总资本的角度来看,要保持投入和产出的比例性。比例性的问题——需要生产多少钢铁,来满足其他部门的活动对这种生产资料的需要,又需要多少铁矿石来生产钢铁——事实上是第二卷中的主要问题之一。这就提出了机制的问题:什么样的机制能确保这些比例性可以大致地实现?市场能做到吗?利润率平均化能保证这一比例吗?如果不能的话,会导致比例失调的危机吗?正如马克思在本章的末尾指出的,这种思维模式的先驱是魁奈。这些问题构成了马克思在第20章和第21章创新性地拓展魁奈的图式的基础。
  请注意,在第3章,使用价值和价值、剩余价值和剩余产品总是成双成对地出现,这在其他循环的研究中是看不见的。当钢铁被当作生产资料售卖时,不仅引出了使用价值的物质流动问题,而且引出了价值转移的平衡问题,这两个方面并不必然完全匹配。在其他循环的情形,剩余价值“消失了”(因为货币只是货币,只能执行货币职能,也因为生产在它开始的时候没有包含以往的剩余价值生产的痕迹,尽管它生产了剩余价值)。在其他循环中,我们可以只关注个别的产业资本,而不必关心加总的情形。加总的情形只在商品资本的循环中出现。在商品资本的循环中,起点的商品中含有剩余价值,特定的使用价值对生产的持续进行也是至关重要的。只有从商品资本循环的角度出发,我们才能够研究运动的加总的规律,并阐明资本再生产所必需的物质使用价值比例和价值比例。
  上述全部内容如何整合到作为总体的资本循环过程之中呢?我们下章再讨论。




[1] 哈维在书中采用英文企鹅版《资本论》的符号,用M表示预付货币资本,而中文版《资本论》中用的是G。类似的区别还有M′(G′)、C(W,即商品)、C′(W′)等,为保持译文统一,我们按照英文企鹅版《资本论》的符号用法,适当修改中文版《资本论》的引文中的符号。——译者

[2] 马克思,《资本论》,第2版,第二卷,第32页,北京:人民出版社,2004。

[3] 马克思,《资本论》,第2版,第一卷,第135—136页,北京:人民出版社,2004。

[4] 马克思,《资本论》,第2版,第一卷,第161—162页,北京:人民出版社,2004。

[5] 马克思,《资本论》,第2版,第一卷,第162页,北京:人民出版社,2004。

[6] 马克思,《资本论》,第2版,第二卷,第32页,北京:人民出版社,2004。

[7] 马克思,《资本论》,第2版,第二卷,第36页,北京:人民出版社,2004。

[8] 马克思,《资本论》,第2版,第二卷,第35页,北京:人民出版社,2004。

[9] 马克思,《资本论》,第2版,第二卷,第42页,北京:人民出版社,2004。

[10] 马克思,《资本论》,第2版,第二卷,第37页,北京:人民出版社,2004。

[11] 马克思,《资本论》,第2版,第二卷,第39页,北京:人民出版社,2004。

[12] 马克思,《资本论》,第2版,第二卷,第38页,北京:人民出版社,2004。

[13] 马克思,《资本论》,第2版,第二卷,第40页,北京:人民出版社,2004。

[14] 马克思,《资本论》,第2版,第二卷,第37页,北京:人民出版社,2004。

[15] 马克思,《资本论》,第2版,第二卷,第40页,北京:人民出版社,2004。

[16] 马克思,《资本论》,第2版,第二卷,第43页,北京:人民出版社,2004。

[17] 马克思,《资本论》,第2版,第二卷,第41页,北京:人民出版社,2004。

[18] David Harvey,The Enigma of Capital:and the Crises of Capitalism (London:Profile,2010),Chapter 5.

[19] 马克思,《资本论》,第2版,第二卷,第44页,北京:人民出版社,2004。

[20] 马克思,《资本论》,第2版,第二卷,第45页,北京:人民出版社,2004。

[21] 马克思,《资本论》,第2版,第二卷,第56页,北京:人民出版社,2004。

[22] 马克思,《资本论》,第2版,第二卷,第46页,北京:人民出版社,2004。

[23] 马克思,《资本论》,第2版,第二卷,第48页,北京:人民出版社,2004。

[24] 马克思,《资本论》,第2版,第二卷,第48页,北京:人民出版社,2004。

[25] 马克思,《资本论》,第2版,第二卷,第50页,北京:人民出版社,2004。

[26] 马克思,《资本论》,第2版,第二卷,第51页,北京:人民出版社,2004。

[27] 马克思,《资本论》,第2版,第二卷,第52页,北京:人民出版社,2004。

[28] 马克思,《资本论》,第2版,第二卷,第59页,北京:人民出版社,2004。

[29] 马克思,《资本论》,第2版,第二卷,第60—63页,北京:人民出版社,2004。

[30] 马克思,《资本论》,第2版,第二卷,第63页,北京:人民出版社,2004。

[31] 马克思,《资本论》,第2版,第二卷,第65页,北京:人民出版社,2004。

[32] 马克思,《资本论》,第2版,第二卷,第67页,北京:人民出版社,2004。

[33] 马克思,《资本论》,第2版,第二卷,第68—69页,北京:人民出版社,2004。

[34] 马克思,《资本论》,第2版,第二卷,第70页,北京:人民出版社,2004。

[35] 凯文·菲利普斯(Kevin Phillips),美国政治评论家,其著作《金融大崩盘》(Bad Money)已有中文版。——译者

[36] 马克思,《资本论》,第2版,第二卷,第72页,北京:人民出版社,2004。

[37] 马克思,《资本论》,第2版,第二卷,第73页,北京:人民出版社,2004。

[38] 马克思,《资本论》,第2版,第二卷,第75—76页,北京:人民出版社,2004。

[39] 马克思,《资本论》,第2版,第二卷,第77页,北京:人民出版社,2004。

[40] 马克思,《资本论》,第2版,第二卷,第81页,北京:人民出版社,2004。

[41] 马克思,《资本论》,第2版,第二卷,第79—80页,北京:人民出版社,2004。

[42] 马克思,《资本论》,第2版,第二卷,第82页,北京:人民出版社,2004。

[43] 马克思,《资本论》,第2版,第二卷,第84页,北京:人民出版社,2004。

[44] 马克思,《资本论》,第2版,第二卷,第86页,北京:人民出版社,2004。

[45] 马克思,《资本论》,第2版,第二卷,第87页,北京:人民出版社,2004。

[46] 马克思,《资本论》,第2版,第二卷,第88页,北京:人民出版社,2004。

[47] 马克思,《资本论》,第2版,第二卷,第88—89页,北京:人民出版社,2004。

[48] 马克思,《资本论》,第2版,第二卷,第350页,北京:人民出版社,2004。

[49] 马克思,《资本论》,第2版,第二卷,第456—457页,北京:人民出版社,2004。

[50] 马克思,《资本论》,第2版,第二卷,第90页,北京:人民出版社,2004。

[51] 马克思,《资本论》,第2版,第二卷,第97页,北京:人民出版社,2004。

[52] 马克思,《资本论》,第2版,第二卷,第93页,北京:人民出版社,2004。

[53] 马克思,《资本论》,第2版,第二卷,第97—98页,北京:人民出版社,2004。

[54] 马克思,《资本论》,第2版,第二卷,第102页,北京:人民出版社,2004。

[55] 马克思,《资本论》,第2版,第二卷,第114—115页,北京:人民出版社,2004。

[56] 马克思,《资本论》,第2版,第二卷,第108页,北京:人民出版社,2004。

[57] 马克思,《资本论》,第2版,第二卷,第112—113页,北京:人民出版社,2004。




上一篇 回目录 下一篇